At Satluj Public School Sector 2 Panchkula, we are dedicated to fostering a dynamic and inclusive learning environment that embraces and celebrates social, cultural, and religious diversity. We aim to cultivate well-rounded, ethical individuals who are prepared to thrive in an interconnected world. Our innovative curriculum is designed to instill discipline, promote cultural appreciation, and develop a profound sense of global citizenship, empowering our students to make meaningful contributions to society.
| Sr. No | Information | Details |
|---|---|---|
| 1 | Name of the School | Satluj Public School |
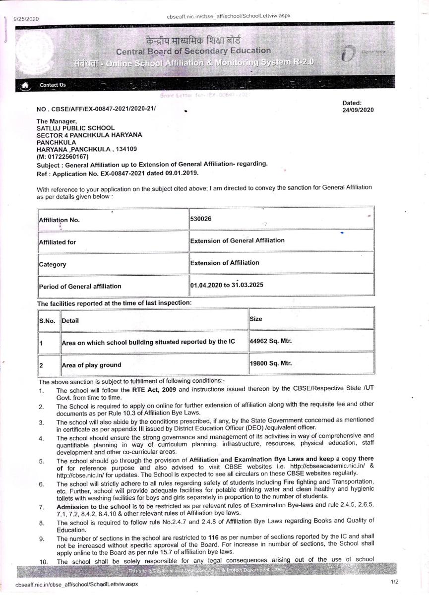
| 2 | Affiliation No. | 530026 (Extension of Affiliation is obtained as per CBSE Guidelines) |
| 3 | School Code | 40044 |
| 4 | Complete Address with Pin Code | Satluj Public School, Sector 2&4, Panchkula, Haryana-134112, India |
| 5 | Principal Name and Qualification | Dr. Krit Serai MA History, B.Ed, BA (Hons), Geography MA Education, Education Specialist Course, Educationist in UK, Governor |
| 6 | School E-mail | satlujps@yahoo.co.in |
| 7 | Contact Details | +91-8284-060-167, +91-1722-560-267, +91-1722-574-885 |
| 8 | Registered Society Details | Satluj Education Society (Regd) Permanent under Registered Societies Act |
| 9 | List of Members of School Managing Committee with their Address/ Tenure and Post held | Members : Chairman, President, Vice-President Principal-Cum-Secretary, NRI’s, Treasurer, Doctors, Educationists, Professionals, Parents Representatives, Teachers Representatives, HUDA representatives on rotational |
| 10 | Year of Establishment of School | 1976 |
Note: The schools needs to upload the self- attested copies of above listed documents by chairman / manager/ secretary and principal. In case, it is noticed at later stage that uploaded documents are not genuine then school shall be liable for action as per norms.
| Sr. No | Session | No. of Registered Students | No. of Students Passed | Pass Percentage | Remarks |
|---|---|---|---|---|---|
| 1 | 2023-24 | 375 | 375 | 100% | |
| 2 | 2022-23 | 344 | 344 | 100% |
| Sr. No | Year | No. of Registered Students | No. of Students Passed | Pass Percentage | Remarks |
|---|---|---|---|---|---|
| 1 | 2023-24 | 224 | 224 | 100% | |
| 2 | 2022-23 | 218 | 218 | 100% |
| Sr. No | Member Name | Designaton in SMC |
|---|---|---|
| 1 | Amarjit Singh | President |
| 2 | Inderjit Singh | Vice-President |
| 3 | Krit G.S. Serai | Secretary (Ex-Officio) |
| 4 | Neetu | Treasurer |
| 5 | Kamlesh | Teacher Representative |
| 6 | Shipra Sharma Mehan | Teacher Representative |
| 7 | Madhu Sharma | Parents Representative |
| 8 | Dr. Nita Garg | Parents Representative |
| 9 | Piyush Puni | Principal Representative |
| 10 | Sunil Kumar | Principal Representative |
| 11 | Sh. Hardeep Malik | HUDA Representative |
| 12 | Rita Munjal | Member |
| 13 | Promila Sharma | Member |
| 14 | Jogi Ram | Member |
| 15 | Dr. Surinderpal Singh | Member |
| 16 | Jagit Singh | Member |
| Sr. No | Information | Details |
|---|---|---|
| 1 | Area of School Campus | 12 Acres |
| 2 | In Acres | 44,962 Sq.Mtrs. |
| 3 | In Sq. Mtrs. | 17,985 Sq.Mtrs. |
| 4 | Built Up Area (Sq. Mtrs) | 26,977 Sq.Mtrs. |
| 5 | Other Facilities | Playground/ Open Space |
| 6 | Swimming Pool | Yes |
| 7 | Indoor games | Yes |
| 8 | Dance Rooms | Yes |
| 9 | Gymnasium | Yes |
| 10 | Music Rooms | Yes |
| 11 | Health & Medical Rooms | Yes |
| 12 | 3D smart classes | Yes |
| 13 | Subject specialist labs | Yes |
| 14 | Auditoriums/ Stadias | Yes |
| 15 | Web Learning program | Yes |
| 16 | Computer Labs | Yes |
| 17 | CCTV Cameras | Yes |
| 18 | Fire Extinguishers | Yes |
| 19 | Activity Room | Yes |
| 20 | Coolers/RO purifiers | Yes |
| 21 | Washrooms for staff/ students (M/F) | Yes |
| 22 | Security Guards | Yes |
| 23 | Strong Room | Yes |
| 24 | No. and size of the class rooms (in sq. mtr) | 117/ 84 sq. mtr |
| 25 | No. and size of laboratories including computer labs (in sq. mtr) | 16/ 90 sq. mtr |
| 26 | Internet facility | Yes |
| 27 | No. of girls/ boys toilets | 48/ 67 |
| 28 | Link of YouTube video of the inspection of school covering the infrastructure of the school | Click Here |
| Sr. No | Information | Details |
|---|---|---|
| 1 | Norm for fixing School fees | School fee committee fixes school fees after consultation and approval of SMC / Society as per CA/ accounts department inflationary suggestions as discussed in SMC inclusive of Parents representatives/ as per State Education Department guidelines/ School Facilities. |
| 2 | Transport Facility | Own buses and on contract basis Excellent buses with speed governors, cameras, lady attendents. many buses are deluxe / luxury |
| 3 | Particulars of Teaching Staff | LIST ATTACHED |
| 4 | Details of Salary being paid by the school to Teaching/ Non-Teaching Staff | Salary paid according to State/ CBSE norms, depending upon teacher position/experience/ qualification. ( 6/7th Pay Commission Teachers + Grade Pay + DA + Cony) Epf as applicable |
| 5 | Mode of Payment of Salary | Through Bank “Canara Bank” |
| 6 | Library Facilities (i) Total No. of Books (ii) Size of the Library in Sq. Feet (iii) No. of Periodicals/ Magazines/ Dailies (iv) Special Remarks | 48573 1943 Sq.Ft. 37 All Classes Books ranging from 2000-3000 per year group. Average student book ratio of approximately 15 books per student, which is more than the CBSE requirement of 5 books per student. New books added per annum. |
| 7 | Name of the Grievance/ Redressal Officer with E-mail, Phone No., Fax No. | Principal Krit Serai, Ms. Kamlesh Ms. Madhu Sharma satlujps@yahoo.co.in Phone No. 0172-2560167, 2560267 Fax No. 0172-2574885 |
| 8 | Member of Sexual Harassment Committee | Ms. Madhurima Serai, Ms. Kamlesh , Ms. Sukhrattan Naaz,Ms. Madhu Sharma |
| 9 | Section-wise Enrolment of School for the Current Session | 7 to 11 Sections per year group Students Ratio according to CBSE Click Here to View |
| 10 | Admission Period | Mid-November to mid-July |
| 11 | Academic Session Period | 1st April of every year to 31st March of next year (for e.g 1st April 2019 to 31st March 2020) |
| 12 | Vacation Period | Mid-May to June (Summer) last week Dec to mid-Jan (Winter) |
| 13 | Prescribed Books | Satluj Subscribes to NCERT CBSE/ NCERT based books only. |
| 14 | 10th & 12th Board Pass Percentage (2021/2022/2023) | Top results with consistent district topper/ CBSE merit certificate |
| 15 | Location Details | Click Here for Location Details |
| 16 | Academic Details | Click Here for Academic Details |
| 17 | Booklist 2021-22 Class I to XII | As per CBSE guidelines NCERT/NCERT based According to CBSE syllabus. Click Here for |
| 18 | TC List | Click Here for Junior wing TC List Click Here for Senior wing TC List |
Cocoon/Pre-Nursery to XII
School Fee
Rs.5,516/- to Rs.6,337/- pm
Admission Fee (for new students only)
Many students, according to RTE/State/CBSE guidelines, are given concessions for various categories, e.g., BPL/EWS/Merit.
Parents can pay fees Monthly/Quarterly/Half Yearly/Annually as per their convenience.
Mode of payment: Online/Card Swipe at fee office/Cheques. Cash is not acceptable.
| Month | Academic | Cultural/ Co-Scholastic/ Academic Department | Subject Awareness Drive/btcl Activities | Sports | Any Other |
|---|---|---|---|---|---|
| April 204 | Academic Planning- Monthwise distribution and Completion. ID Cards; Handing over the Scholar’s Diary tostudents. Handing over the Medical Files to the HOY. Students List for ERP; Weekly Assessment Register; Handling over Pupil Files to HOY Duties of School News Board; Weekly Random Inspection SADs (Subject Awareness Drives), AL (Applied Learning). Director Principal and Managing Director Orientation (V-XII). Academic Orientation withpupils; SAFAL (5th & 8th) | Welcome Assembly to New Session (Theme– “My School”) Assembly I – On 5th April (Easter,World Health Day, International World Book Day,EBSB) Talk on health and Hygiene. (Counsellor) Assembly 2 – On 12th April (Ambedkar Jyanti, Vaisakhi, Jalianwala Bagh) Assembly 3 – On19th April (World Heritage Day, World Earth Day, World Book Day, Ramnavami) Assembly 4 – On 26th April (Earth Quake Drill, International Dance Day , English Language Day) Weekend Activity (Best outof waste – VI to IX); (Calligraphy – Vto VIII) Appointment of Perfectioral Board. | 2nd: World Autism Awareness Day 5th: National Maritime Day 7th: World Health Day 18th: Know Your Customer Day 18th: World Heritage Day 22nd: World Earth Day 23rd: World Bookand Copyright Day 28th: World Day for Safety and Health at Work | Skating (U-14) Boys & Girls – SEWA Activity, BMI Half Marathon (U14,17,19) Boys/ Girls–SEWA Activity | Any Yavnika Visit (V) HOD/HOY Register Transport (New Session) Safety Committee Meeting Satluj Quiz SST Department Spell Bee Interactive Session |
| May 2024 | Announce Weekly Assessment dates in advance. Monthwise Syllabus Completion; First Exercise Inspection (Main) Recordsof weekly assesments and class tests. Students Scholars book checking on Daily basis. Subject Awareness Drives (SADs); X/XII CBSE Exams Planning and Handover Holiday Worksh SADs, (Subject Awareness Drives), AL (Applied Learning). Home Assignments/ Projects. SADs (Subject Awareness Drives), AL (Applied Learning). | Assembly I – On 3rd May (Tagore Day, Budh Purnima, Mother’s Day) . Assembly 2 – On 10th May (National Technology Day, EBSB), International Nurse Day Assembly 3 – On 17th May(Do’s and Don’t ofSummer, Fit India Activities, Happy Vacations Assembly) Essay Writing on Tagore for Classes (IX and XI) Mother’s Day Painting Competition (V to VIII) Card Making and Message Writing. Mother’s Day Essay writing Competition (IX and XI) Weekend Activity (Fun with Numbers – Vto VIII) | 1st: International Labour Day 1st to 7th: National Small Business Week 4th: International Firefghter’s Day 8th: World Red Cross Day 11th: National Technology Day 12th: International Nurses Day 15th: International Dayof Families 17th: World Telecommunication Day 17th: World Hypertension Day 17th: National EndangeredSpecies Day 18th: International Museum Day | Taekwondo(U14) Boys & Girls Judo, Taekwondo, Self Defence Techniques (All Age Groups) Football (U16) Boys and (U19) Boys Sports Summer Camp Reading AppreciationProg. | Newspaper Trips XI Admissions Any BSE/Govt. Activity Fastest Accounts/Satluj Economic Conclave Best Outof Waste (V/VI) Collage Making(VII/VIII) Poster Making (IX/X) (HOD Events) Satluj Spell Bee Annual Quiz Declamation (V-X), Safety Committee Meeting, Ecoclub every week |
| June 2024 | Summer Vacations Projects, Assignments X/XII CBSE Exams | Summer Vacations | – | Yoga Day (21st June) | Trips |
| July 2024 | Monthly Syllabus Completion; Periodic Test-I ( V toXII ) Extended Weekly Assessment (3Hr); Target Analysis,Revision Plan X/XII Results SADs (Subject Awareness Drives) Datesheet of Periodic Test and Syllabus. SADs (Subject Awareness Drives), AL (Applied Learning). SBAAP | Fresher’s Meet Assembly I – On 5th July ( Pledgeon Swatchhata ) Assembly 2 – On 12th July (World Populaion Day) Assembly 3 – On19th July (EcoClub, Gorgeous Grandma Day, Fire Drill) Assembly 4 -- On 26th July (Ek Bharat Shresht Bharat’ Weekend Activity (Declamationon ‘How youspendyour summervacations’ V-IX/XI File Cover Making for Class- V Weekend Activity (Environment Quiz) Open house Exhibition, TreePlantation ( ClasssV – VIII) Parliament Formation | 1st: Doctor's Day 1st: Chartered Accountant's Day (India) 2nd: World UFO Day; 11th: World Population Day 12th: National Simplicity Day 17th: World Day for International Justice 18th: International Nelson Mandela Day 26th: Kargil Vijay Diwas (Kargil Victory Day) 26th: National System Admn Appreciation Day 28th: National Parent's Day 28th: World Nature Conservation Day | Cyclothan Marathon (U14, 17, 19) – SEWA Activity District Level Tournament | ID Cards – New Students Any (CBSE/ Govt. Audit) HOD Event – Puzzle Solving(V-XII) Disaster Management Drill, Tree Plantation Smart Class Competition (IT Deptt) Compartment Exam Safety Committee Meeting Eco Club Report Every Week Satluj Quiz; Scholar’s Book Quiz Traffic ParkVisit (V) |
| August 2024 | Weekly Assessments Random Inspection; Practicals; Second - Exercise Books Inspection SADs (Subject Awareness Drives), AL (Applied Learning). SBAAP | Assembly 1 - On 2nd August (Dos and Donts in Monsoon, Quit India Day) Assembly 2- On 9th August Independence DayCelebration ) Assembly 3 - On 17th August (Swatchhata, Poet’s Day) Assembly 4 – On 23rd August (Save Water Assembly Activity Assembly 5- On 30th August (Fire Drill & Earth Quake Drill); Raksha Bandhan. Weekend Activity (Rakhee Making V-VIII); (Patriotic Song V-VIII); (Slogan writingon Save Water V-XII) Vocabulary Test for IX & XI Independence Day Celebrations Weekend Activity (Patriotic Singing Competition for VI-VIII, IX & XI and Best Out of Waste/ Poster Makingfor V) | 1st: World Wide Web Day 9th: Quit India Movement Day 9th: Day of the World’s Indigenous Peoples 12th: International Youth Day 13th: International Lefthanders Day 19th: World Photography Day 19th: World Humanitarian Day 21st: World Entrepreneurs Day 24th: Internaut Day; 26th: Women's Equality Day 29th: National Sports Day | Golf (U14) Boys and Girls Horse Riding (U14) Boys/ Girls March Past Badminton U14Boys & Girls Basketball U17&19 Boys/ Girls Cricket Match Jogathan | National Science Day (CBSE) Safety Committee Meeting – Every Monday Spell Bee Role PLay |
| Sept 2024 | Periodic Test Term 1 Final Examination (V to X) SADs (Subject Awareness Drives), AL (Applied Learning). CBSE Registration Half Yearly (V-XII) | Assembly Salutation toTeachers; Janamashtami Term-I Final | 3rd: Skyscraper Day; 5th: International Day of Charity 5th: Teachers' Day (India); 7th: Forgiveness Day 8th: International Literacy Day; 14th: World First Aid Day 15th to 21st: Builda Better Image Week 16th: World Ozone Day; 16th: International Day of Preservation 21st: International Day of Peace & Non-Violence(UN) 21st: World Alzheimer's Day 23rd: International Day of Sign Languages 24th: Presentation Day; 26th: World Maritime Day 27th: World Tourism Day; 29th: World Heart Day 30th: International Translation, White Chocolate Day | Term-I Final | Any CBSE (Govt. Activity) HOD Event – Assignments / Project (Humanities) Safety Meeting Committee Recitare (V to XII) Debate Competition French Essay Competition Satluj Master Chef (Cooking Without Fire) |
| Oct 2024 | PTM for all classes Syllabus completion (V- VIII) Revision for Final Term-I Semester II for Classes VI- VIII. | Assembly – 4th Oct: World Habitat Day; 11th Oct: World Animal Day; 18th Oct: Indian Air Force Day; 25th Oct: Dussehra Maharaja Agarsen Jayanti; World Students’ Day; Balmiki Jayanti Master Chef (V to IX & XI) and Declamation on World Students’ Day, World Aged Day(IX & XI PPT Presentation) World Food Day, Abdul kalam Birthday, United Nations Day; Diwali Celebrations. Candle and Diya Decorati on Competition (V to IX & XI). DISTRICT CHILD WELFARE COMPETITIONS. | World Habitat Day, Homemade Cookie Day on 1st; Gandhi Jayanti, Name Your Car Day to 2nd; Wild Life Week on 2nd to 8th; World Animal Day on 4th; Air Force Day on 8th; World Post Day, Chess Day on 9th; Maharaja Agrasen Jayanti on 10th; International Day for Natural Disaster Reduction on 11th; TrainYour Brain Day on 13th; Dr. Abdul Kalam’s Birthday, World White Cane Day on 15th; World Food Day, Dictionary Day on 16th; Chocolate Cupcake Day on 18th; Reptile Awareness Day on 21st; Colour Dayon 22nd; Maharishi Valmiki Birthday, United Nations Day, World Food Day on 24th; International Animation Day on 28th; World Saving Day on 30th; National Unity Day on 31st; | Table Tennis (U-14) Boys & Girls on 6th Pool/Snooker (U-17,19) Boys/ Girls on 13th Six-a-side Football Tournament Volleyball (U-17) Boys on 23rd HOL Basketball Girls Tournament | Gandhi Jayanti Arts Olympiad English Olympiad Penta Soft Juniors Olympiad Herbal Park Visit- V |
| Nov 2024 | X, XII Revision Syllabus Completion X, XII Weekly Assessment; SBAAP; Pre Weekly Assessment | Assembly – 2nd Nov: Haryana Day; 8th Nov: Diwali Celebrations; 16th Nov: World Heritage; 22nd Nov: Guru Nanak Jayanti; 29th Nov: Constitution Day. Quiz on Haryana Day (V-XII). Diwali National Education Day, Id-E-Milad, Chlidren Day, Guru NanakJayanti National Integration Day; Child Right Day Constitution Day; Dayfor Violence Against Women. National Pollution Control Day; World Aids Day – Painting Competitionfor Classes V to IX & XI. | Haryana Day, Author’s Day on 1st; World Tsunami Awareness Day on 5th; Nachos Day on 6th; Diwali Celebrations on 6th to 10th; X-Ray Day on 8th; International Week of Science and Peace on 9th to 14th ; World Quality Day on 12th; World Kindness Day on 13th; Children’s Day on 14th; I Love to Write Day on 15th; Button Day on 16th; Mickey Mouse Day on 18th; National Integration Day on 19th; World Heritage Week on 19th to 25th; Child Right Day on 20th; World Hello Day on 21st; International Film Festival of India on 20th to 30th; Go For a Ride Day on 22nd; Fibonacci Day on 23rd; Celebrate Your Unique Talent Day on 24th; Constitution Day, Cake Day on 26th; Computer Security Day on 30th; | Volleyball (U-19) Boys on 3rd Adventure Sportson 12th Table Tennis (U17 / 19) Boys & Girls on 16th Satluj Open Tennis Tournament Athletic Meet on 25th | Observation ofVigilance Awareness Week (CBSE) Science- National Health & Wellness Quiz Annual Function Cyber/ IT Olympiad Practical (All Classes) Competitions Science Olympiad IQ Olympiad Commerce Olympiad Safety Committee Meeting – Every Monday District Child Welfare Competitions |
| Dec 2024 | Pre-Board X / XII Project work, practical fles, activity files completion Syllabus Completion IX, XI Extended Weekly Assessment (VI-VIII) ClassV Internal Assessment Periodic Test-2 | Assembly – 6th Dec: Handicrafts & Ambedkar Jayanti; 13th Dec: Mathematics Day. Navy Dayand International Day of Disabled Persons. Christmas- Card Making; Carol Singing for Classes V to IX & XI. Human Rights Day; National Energy Conservation Day. National Mathematics Day. Christmas , New year . ROCK SHOW, WIZ-KIDS, LITTLE CHAMPS. | World Aids Day on 1st National Pollution Control Day, World Computer Literacy Day on 2nd Navy Day on 4th; Ninja Day on 5th; Dr. Ambedkar Diwas on 6th Cotton Candy Day on 7th; All India Handicrafts Week on 8th to 14th Human Rights Day on 10th; National Energy Conservation Day on 14th National Mathematics Day, Date Nut Bread Day on 22nd National Farmers Day on 23rd; Fruit Cake Day on 27th | Lawn Tennis (U14/ 17/ 19) Boys/ Girls Chess Tournament Six-a-side Football | Migratory Bird Trip English Theatre Week Winter Vacations National Mathematics Day Dr. Ambedkar Week Celebrations NTSE Maths Olympiad Safety Committee Meeting – Every Monday English Theatre Week – V-VIII |
| Jan 2025 | Project work, practical fles, activity files completion Preparationfor CBSE Practical Weekly Assessment; Pre-Weekly Assessment Syllabus Completion & Revision CBSE Practical for X/XII | Assembly – 17th Jan: Army Day; 24th Jan: Republic Day. Founder’s Day; National Youth Day; Lohri, Army Day. Neta Ji Subhash Chander Bose; Chotu Ram Jayanti; National Girls Child Day. Republic Day Celebrations on 26th January | World Braille Day on 4th; Oiland Gas Conservation Week on 4th to 10th Static Electricity Day on 9th; Road Safety Week on 11th to 17th National Youth Day on 12th; Army Day, Hat Day on 15th Popcorn Day on 19th; Penguin Awareness Day on 20th Republic Day on 26th; Freethinkers Day on 29th | March Past on 26th Physical Education Practicals March Past on 26th Jan Pool Tournament | XII Photograph XII Farewell Safety Committee Meeting – Every Monday Fire Drill / Disaster Management Drill Career Fest (Career Exploration) Mathematics Extravaganza (V-VIII |
| Feb 2025 | CBSE Practical for X/XII. School Final Practical Revision Internal Assessment. | Assembly – 7th Feb: World Wetland Day. VasantPanchami, National Deworming Day, Guru Ravi Dass Jayanti Organ Donor Day. National Science Day Examinations. | World Wetland Day on 2nd; World Cancer Day, Thank a Mailman Day on 4th Send a Card to a Friend Day on 7th; Kite Flying Day on 8th Pizza Day on 9th to 14th; Umbrella Day on 10th Organ Donor Day on 14th; Love Your Pet Day on 20th Tell a Fairy Tale Day on 26th; Polar Bear Day on 27th National Science Day on 28th | Physical Education Practicals | National Science Day (CBSE) Safety Committee Meeting – Every Monday |
| Mar 2025 | CBSE Final Exam X/XII School Exam V- IX/XI Result Preparation PTM Planning for new session. | HUDA Spring Fest’ | World Compliment Day on 1st; National Safety, Grammar, World Wildlife, National Defence Day on 4th; International Women’s Daty, Proof Reading Day on 8th; World Kidney Day on 9th Plant A Flower Day on 12th; Submarine Dayon 17th; Chocolate Caramel Day on 19th; World Forestry Day, World Poetry Day on 21st; World Water Day on 22nd; World Meteorological Day on 23rd; Tuberculosis Day on 24th; World Theatre Day on 27th; Doctor’s Day on 30th; | -- | Women’s Day Consumer Protection Day Safety Committee Meeting – Every Monday |
(Class V to XII): Sector 4, Panchkula
Mobile : +91-62830-02970
Mobile : +91-82840-60167
Phone : 0172-2560167
E-Mail : satlujps@yahoo.co.in
(Cocoon/ Pre-Nursery to Class IV), Sector 2, Panchkula
Mobile : +91-86999-51976
Mobile :+91-89688-41413
Phone : 0172-2560267
E-Mail : satlujjunior@gmail.com